背景
プログラミングテストの練習問題として、
重複したノードを含んだ連結リストをユニークに
する問題を解いたので、その解法をメモしておく。
目次
連結リストに関する類題
これまでに解いた連結リスト関連の問題はこちらを参照。
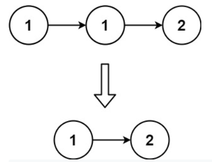
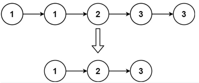
問題
下図の上部にあるような連結リストが入力として与えられたとき、
そこから重複したノードを削除し、下図の下部のようなユニークな
ノードで構成される連結リストにするアルゴリズムを実装する。

他にもこういうパターンもある。

解法
入力された連結リストの各ノードが持つ数値と、その次に来るノードの
数値を比較する。それらが一致していれば、次に来ていたノードの
ポイントを、そのまた次に来るノードのポインタと入れ替える。
この一連の処理を、参照するノードのポインタがNULLになるまで
繰り返す。
以上のアルゴリズムを実装したC++コードを下記のようになる。
#include <iostream> #include <string> #include <unordered_set> using namespace std; // linked list node struct Node { int data; struct Node *next; }; // add new data void push(struct Node **head, int new_data) { // allocate node struct Node *new_node = new Node; // put in the data new_node->data = new_data; // link the old list off the new node new_node->next = (*head); // move the head to pointer to the new node (*head) = new_node; } // delete duplicated nodes Node* delete_duplicates(Node* head) { Node* current = head; while (current != NULL && current->next != NULL) { if (current->next->data == current->data) { current->next = current->next->next; } else { current = current->next; } } return head; } // main process int main(void) { // start with the empty list Node* head = NULL; // create sorted linked list // sorted in ascending order push(&head, 1); push(&head, 1); push(&head, 1); push(&head, 2); push(&head, 2); push(&head, 3); push(&head, 3); push(&head, 3); Node* result = NULL; result = delete_duplicates(head); // print data of each node Node* current = result; while (current != NULL) { cout << current->data << endl; current = current->next; } return 0; }
このアルゴリズムでは、ノードをリストの先頭からノードの
数分だけ順番に参照していくだけなので、計算時間はO(n)になる。
